Next: Valore medio e deviazione
Up: Liste
Previous: Liste
  Indice
A questo punto siamo in grado di scrivere facilmente un frammento di
codice python che implementi equazioni contenenti le notazioni
di sommatoria o produttoria come quelle che
che di solito si trovano nei libri di testo. Per esempio
I matematici, essendo i molto pigri (forse secondi solo
agli informatici), hanno introdotto dei modi comodi e compatti
per scrivere più comodamente sequenze di somme (
) e di prodotti
(
), tali simboli perciò rappresentano soltanto un modo
convenientemente compatto di scrivere notazioni matematiche.
In altri termini
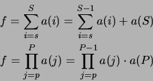
Sia la sommatoria che la produttoria, consistono in un numero definito di passi
(gli estremi inferiore e superiore), inoltre abbiamo che sia la sommatoria che
la produttoria di
elementi si possono scomporre nella sommatoria
(o produttoria) dei primi
sommata (moltiplicata) per l'elemento
.
In altre parole
il che ci porta a comprendere che possiamo calcolare le
sommatorie e le produttoria utilizzando i cicli, in quanto
la sommatoria (produttoria) finale saranno costruite iterativamente
a partire dal primo elemento, poi la somma (prodotto) dei primi due, dei
primi tre, ecc. fino all'esaurimento di tutti gli elementi.
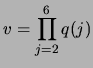
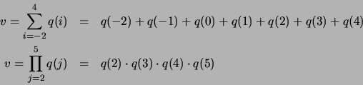
Se consideriamo un caso esplicito, per esempio
 |
|
|
(2.1) |
 |
|
|
(2.2) |
in cui per dare un valore alla nostra funzione poniamo
,
le notazioni precedenti si trasformano nel codice seguente
#
def q(i):
return i*i
# the sum
s=0 # elemento neutro della somma
for i in range(-3,6): # 6 =5+1
s = s + q(i) # sum
# prodotto
p=1 # elemento neutro della moltiplicazione
for i in range(2,7): # 7 6+1
p = p * q(i) # multily
print "sum ",s, "product ",p
La regola è che le somme e i prodotti delle equazioni
vengono sostituiti nei programmi dai cicli.
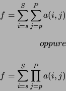
Un caso un po' più complesso è
 |
|
|
(2.3) |
In questo caso avremo due cicli annidati (uno all'interno dell'altro)
come possiamo vedere dalla seguente scomposizione
Il che significa che per ogni dato valore di
, noi calcoliamo
il prodotto per tutti i valori di
. Il valore finale sarà
dato dalla somma di tutti i prodotti.
Se per esempio poniamo
allora abbiamo il seguente
codice python
#
def f(i,j):
return i+j
s=0 # somma esterna
for i in range(-3,6): # primo ciclo
p=1 # inizializziamo il prodotto
for j in range(1,3): # cicplo per il prodotto
p = p * f(i,j)
s = s + p # sommiamo il prodotto per il caso i-mo
print "sumprod ", s
Next: Valore medio e deviazione
Up: Liste
Previous: Liste
  Indice
2004-11-02